Have you ever stared at a picture taken at a strange angle and found it difficult to understand what you were seeing? You might have turned to another person, asking "What am I looking at here?" If that person was able to interpret the picture differently and then point out how to reconceptualize it, you probably experienced an epiphany, finally seeing the "obvious" image that was in front of you all along. It's even possible you felt silly for not seeing things clearly more quickly.
Experiences like these demonstrate the importance of perspective: framing and presentation have an outsize influence on how we perceive and evaluate information. Even when presented with familiar content—like the picture we just considered—we can find it indecipherable if it appears in an unfamiliar context.
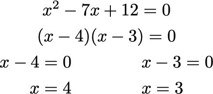
Such is the case with many problems that appear within the SAT Math section. Consider this problem, which involves a quadratic equation.

Nearly all students who have taken a basic algebra course will know how to solve this problem, even if they don't understand exactly why they follow the prescribed steps along the way to their solution. They'll start by factoring the expression on the left side of the equation and will then set each factor equal to zero to solve for the values of x that make the equation true.

So there are two solutions to the equation: x = 4 and x = 3.
Now, consider this problem.

Notice how the equation in this problem resembles the one in step two of the solution to the first problem: we see the product of two factors set equal to zero. So it should be obvious that all we need to do here is set each factor equal to zero and solve each of those equations for t. Right?
As I write this post, I don't have precise data at my disposal, but I estimate that at least half the students who would easily solve the first problem would struggle to solve the second. Why? There are a few reasons. We'll start from the one that seems silliest and build to the most significant.
- The variable in play in the second problem is t, and t is different from x. The vast majority of quadratic equations students solve in school involve x as the variable. New variables make the situation less familiar and more intimidating.
- The first factor in the second problem involves a squared t, and most students are far less accustomed to dealing with variables raised to powers inside factors: most of the problems they solve in school include only linear factors (i.e., those to the power of 1, which is never written explicitly).
- Most importantly, the second question drops us into the problem at a point that most students would characterize as the "second step" of finding a solution to a quadratic equation. (Of course, there's no formal rule that this is the "second step"—that's just how students who learn to solve these questions algorithmically think about it.) When the second problem is presented with the first problem right above it, the similarities are much clearer; when it shows up in isolation in a test section that features several unrelated problems beforehand, the resemblance can fly over students' heads entirely.
Don't underestimate the psychological impact of all these factors, especially the third point. It's akin to the difference between starting a dance routine at the beginning, letting each step lead naturally into the next, and starting the same routine two minutes into the piece without performing the previous motions to which you're accustomed: your muscle memory hasn't had a chance to kick in, and you're left feeling unmoored, flailing around trying to find the right movement and rhythm.
This is the fundamental issue that plagues many students who struggle with SAT math. It's not that they don't know about quadratic equations or that they can't solve them; it's that they haven't seen quadratic equations presented in this way and are not used to thinking about them from a different perspective. Of course, once they're trained to do so, most students will be able to solve the second problem easily. (The answer, by the way, is 3 solutions: t = √(4/7), – √(4/7), and 3.)
This is why SAT prep is critical. Most students who aren't familiar with how certain problems are framed will be caught off guard, and their scores will suffer for it. Our tutoring helps students understand that doing well on the SAT Math section is about more than simply "being good at math"…it's about developing deep familiarity with how the test presents material.